- Главная
- Каталог
- Крепеж
- Фланцы, заглушки, втулки
- Фланцы воротниковые
- Фланцы воротниковые ГОСТ 12821-80
Фланцы воротниковые ГОСТ 12821-80
Чаще всего воротниковые фланцы создаются с помощью одного из двух способов:
- Литьё. В процессе производства расплавленный метал вливается в болванку. Когда материал изготовления полностью остывает, заготовка подвергается дополнительной обработке на станке. Минус метода — возможное появления пустот, из-за чего изделия могут выйти из строя.
- Газовая или плазменная резка. С помощью станка из листа стали вырезается заготовка, которая подвергается дополнительной обработке на станке. Изделия, созданные таким способом, лишены пустых полостей, поэтому отличаются качеством и надёжностью.
Для изготовления используется несколько марок стали, отвечающих ГОСТ 12821 80:
- 20, 9Г22С;
- нержавеющая сталь;
- оцинкованные листы.
Требования ГОСТ
Все воротниковые фланцы, отвечающие требованиям ГОСТ 12821 80, имеют следующие параметры:
- Ду, мм: от 15 до 1200;
- Ру, МПа: от 0,1 до 20;
- диапазон температур, оС: от −253 до +600.
Фланцы воротниковые ГОСТ 12821-80 — плоские округлые соединительные элементы, в центре которых располагается невысокий выступ (воротник), представляющий собой усечённый конус. По внешнему диаметру изделия находятся отверстия для крепёжных деталей — болтов, шпилек и прочих приспособлений.
Сфера применения
Фланцы воротниковые отличаются универсальностью, поэтому широко применяются в самых разных отраслях:
- при прокладке трубопроводов;
- соединении хранилищ с рабочей средой;
- прокладке трубопроводной арматуры;
- в нефте- и газовой промышленности;
- водоснабжении, канализационной системах;
- энергетической, сельскохозяйственной, станкостроительной и прочих отраслях.
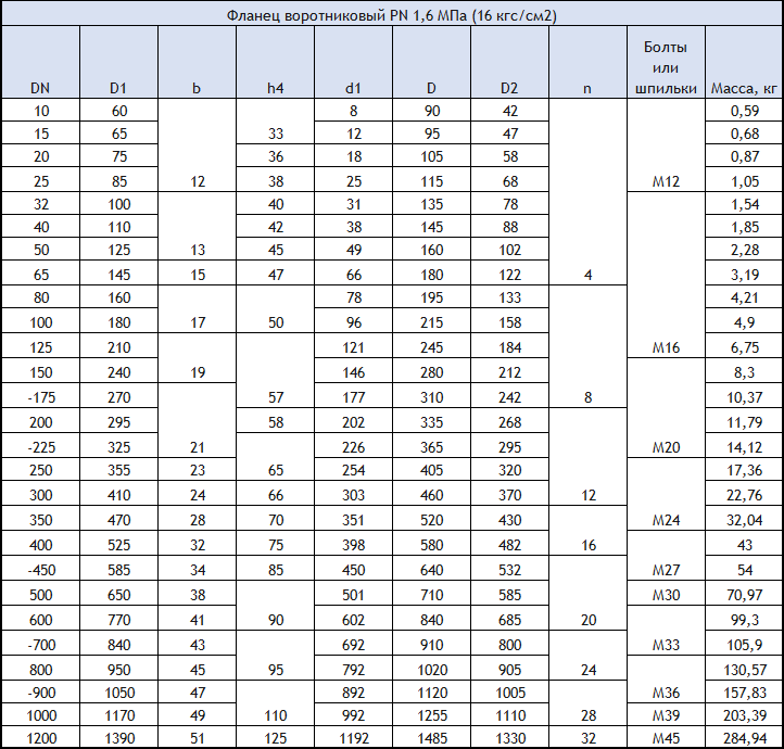
Таблица 1 — Фланец воротниковый ГОСТ 12821-80
Таблица 2 — Фланец воротниковый ГОСТ 12821-80
Таблица 3 — Фланец воротниковый ГОСТ 12821-80
Таблица 4 — Фланец воротниковый ГОСТ 12821-80
Таблица 5 — Фланец воротниковый ГОСТ 12821-80
Таблица 6 — Фланец воротниковый ГОСТ 12821-80
Воротниковые фланцы обладают рядом достоинств:
- высокая прочность;
- надёжность конструкции;
- герметичность соединения;
- универсальность.
Санкт-Петербургский завод крепежных изделий предлагает купить воротниковые фланцы ГОСТ 12821-80, выбрав подходящий размер изделия в таблице, или заказать детали по индивидуальному чертежу.
Чаще всего воротниковые фланцы создаются с помощью одного из двух способов:
- Литьё. В процессе производства расплавленный метал вливается в болванку. Когда материал изготовления полностью остывает, заготовка подвергается дополнительной обработке на станке. Минус метода — возможное появления пустот, из-за чего изделия могут выйти из строя.
- Газовая или плазменная резка. С помощью станка из листа стали вырезается заготовка, которая подвергается дополнительной обработке на станке. Изделия, созданные таким способом, лишены пустых полостей, поэтому отличаются качеством и надёжностью.
Для изготовления используется несколько марок стали, отвечающих ГОСТ 12821 80:
- 20, 9Г22С;
- нержавеющая сталь;
- оцинкованные листы.
Требования ГОСТ
Все воротниковые фланцы, отвечающие требованиям ГОСТ 12821 80, имеют следующие параметры:
- Ду, мм: от 15 до 1200;
- Ру, МПа: от 0,1 до 20;
- диапазон температур, оС: от −253 до +600.
Фланцы воротниковые ГОСТ 12821-80 — плоские округлые соединительные элементы, в центре которых располагается невысокий выступ (воротник), представляющий собой усечённый конус. По внешнему диаметру изделия находятся отверстия для крепёжных деталей — болтов, шпилек и прочих приспособлений.
Сфера применения
Фланцы воротниковые отличаются универсальностью, поэтому широко применяются в самых разных отраслях:
- при прокладке трубопроводов;
- соединении хранилищ с рабочей средой;
- прокладке трубопроводной арматуры;
- в нефте- и газовой промышленности;
- водоснабжении, канализационной системах;
- энергетической, сельскохозяйственной, станкостроительной и прочих отраслях.
Таблица 1 — Фланец воротниковый ГОСТ 12821-80
Таблица 2 — Фланец воротниковый ГОСТ 12821-80
Таблица 3 — Фланец воротниковый ГОСТ 12821-80
Таблица 4 — Фланец воротниковый ГОСТ 12821-80
Таблица 5 — Фланец воротниковый ГОСТ 12821-80
Таблица 6 — Фланец воротниковый ГОСТ 12821-80
Воротниковые фланцы обладают рядом достоинств:
- высокая прочность;
- надёжность конструкции;
- герметичность соединения;
- универсальность.
Санкт-Петербургский завод крепежных изделий предлагает купить воротниковые фланцы ГОСТ 12821-80, выбрав подходящий размер изделия в таблице, или заказать детали по индивидуальному чертежу.










